首页
学院概况
学院简介
机构设置
学院领导
联系我们
新闻公告
通知公告
学院活动
学院新闻
学院资讯
党建工作
学历教育
招生信息
专业介绍
社会培训
国际合作
技能鉴定
首页
-
新闻公告
-
通知公告
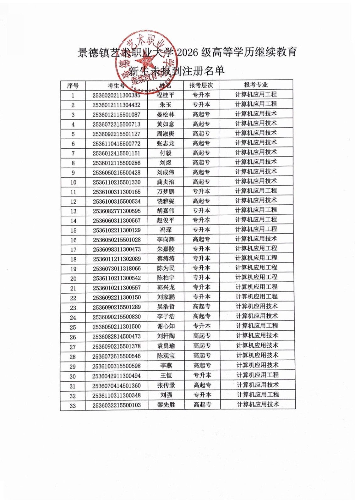
关于景德镇艺术职业大学2026级高等学历继续教育新生未报到注册名单的公示
作者:继续教育学院
发布时间:
2026年04月03日
阅读量:3
扫描二维码在手机查看
文章标题:
关于景德镇艺术职业大学2026级高等学历继续教育新生未报到注册名单的公示
文章链接:
https://jxjyxy.jdzvua.edu.cn/archives/256.html
文章标签:
未填写
文章作者:
继续教育学院
发布时间:
2026年04月03日
友情链接
江西省继续教育信息综合服务平台
中华人民共和国教育部
景德镇艺术职业大学
江西省教育考试院
江西省教育厅
党政办公室
党委组织部(党校)
党委宣传部
党委统战部
纪检监察室
工会
共青团委员会
教务处
科研处(国际合作交流处)
图书馆
学工处(党委学生工作部)
招生就业处
创新创业学院(校企合作办公室)
人事处(党委教师工作部)
财务处
资产管理运营处
发展规划处(质量控制与评估办)
网络信息中心
安全保障处
教学督导处
后勤保障处
景德镇艺术职业大学-继续教育学院
×